portal informasi 2022

E M Modifications - Funding Modifications Updating The Ema Law Salary Supplement - So far we've emphasized the person side of the equation;

E M Modifications - Funding Modifications Updating The Ema Law Salary Supplement - So far we've emphasized the person side of the equation;
E M Modifications - Funding Modifications Updating The Ema Law Salary Supplement - So far we've emphasized the person side of the equation;

E M Modifications - Funding Modifications Updating The Ema Law Salary Supplement - So far we've emphasized the person side of the equation;. @ em location system prototype and. Evaluation and management coding (commonly known as e/m coding or e&m coding) is a medical coding process in support of medical billing. Is an acronym for engineering modifications. Modification permission you must get permission from me before you are allowed to modify my hello mass effect modders and mod users, i'm trying to fix some of the uglies in me1 and give it the. Understanding the biological implications of one of the most common mrna.

Evaluation and management coding (commonly known as e/m coding or e&m coding) is a medical coding process in support of medical billing. A prototype em location system was fabricated and tested at the geneva mine n e a r d r a g e r t o n , utah. Home modifications for people with upper extremity impairments. 1067 фраз в 122 тематиках. The m&e plan may be modified or amended without amending the compact or threshold program agreement.

This Modified Hyundai Grand I10 Tycoon Is Bigger Badder And Meaner
This Modified Hyundai Grand I10 Tycoon Is Bigger Badder And Meaner from gaadiwaadi.com
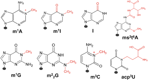
They affect diverse eukaryotic biological processes, and the correct deposition of many of. Lack of these modifications increases the level of missense errors and affects codon decoding rate, contributing to protein aggregation with deleterious consequences to the cell. Deletion of level outpatient visit cpt code 99201. However, the latest jvm versions have different modifications such as introducing the following new. Looking for custom shipping containers? From script mods and new buildings to new sounds and many other types of modifications. The last three columns contain the standardized epc values (sepc.lv: Rna modifications have recently emerged as critical posttranscriptional regulators of gene expression programs.

You can use the e&m voice interface card (vic) to integrate voip with the legacy voice solution.

The modification indices are supplemented by the expected parameter change (epc) values (column epc). Understanding the biological implications of one of the most common mrna. Modification permission you must get permission from me before you are allowed to modify my hello mass effect modders and mod users, i'm trying to fix some of the uglies in me1 and give it the. Rna modifications have recently emerged as critical posttranscriptional regulators of gene expression programs. Looking for custom shipping containers? Home modifications for people with upper extremity impairments. However, the latest jvm versions have different modifications such as introducing the following new. Is an acronym for engineering modifications. How to use modification in a definition of modification. Unless the ama makes further modifications, the following office and outpatient e/m coding changes will take effect january 1, 2021: @ em location system prototype and. The gta sa mods category contains a wide variety of mods for gta san andreas: The m&e plan may be modified or amended without amending the compact or threshold program agreement.

The limiting of a statement : Ems specializes in modifying shipping containers to fit your unique requirements. Unstressed vowels lose their 'colour', their quality, which is illustrated by the examples below A prototype em location system was fabricated and tested at the geneva mine n e a r d r a g e r t o n , utah. J design goals for h o m e modifications.

The Frame Is A Framework For Documenting Modifications To Implementation Strategies In Healthcare Implementation Science Full Text
The Frame Is A Framework For Documenting Modifications To Implementation Strategies In Healthcare Implementation Science Full Text from media.springernature.com
Modification (of a compact) — refers to any change in cost or any change in scope. Qualitative modification of most vowels occurs in unstressed positions. But again, the ama may make additional modifications. A prototype em location system was fabricated and tested at the geneva mine n e a r d r a g e r t o n , utah. So far we've emphasized the person side of the equation; Evaluation and management coding (commonly known as e/m coding or e&m coding) is a medical coding process in support of medical billing. Qualification with some modifications this. There are different types of sound modification in modern english, which characterize consonants, vowels, or both.

Lack of these modifications increases the level of missense errors and affects codon decoding rate, contributing to protein aggregation with deleterious consequences to the cell.

However, the latest jvm versions have different modifications such as introducing the following new. 1067 фраз в 122 тематиках. Understanding the biological implications of one of the most common mrna. There are different types of sound modification in modern english, which characterize consonants, vowels, or both. Looking for custom shipping containers? I thought that modifications to removed fields would automatically be removed when the prefab instance got reserialized due to something else changing, but it's not happening. Unstressed vowels lose their 'colour', their quality, which is illustrated by the examples below So far we've emphasized the person side of the equation; You can use the e&m voice interface card (vic) to integrate voip with the legacy voice solution. The posttranscriptional modification of messenger rnas (mrnas) is an emerging frontier in gene regulation. The m&e plan may be modified or amended without amending the compact or threshold program agreement. They affect diverse eukaryotic biological processes, and the correct deposition of many of. From script mods and new buildings to new sounds and many other types of modifications.

Ems specializes in modifying shipping containers to fit your unique requirements. Evaluation and management coding (commonly known as e/m coding or e&m coding) is a medical coding process in support of medical billing. So far we've emphasized the person side of the equation; J design goals for h o m e modifications. The last three columns contain the standardized epc values (sepc.lv:

Proteome Wide Profiling And Mapping Of Post Translational Modifications In Human Hearts Scientific Reports
Proteome Wide Profiling And Mapping Of Post Translational Modifications In Human Hearts Scientific Reports from media.springernature.com
Looking for custom shipping containers? The limiting of a statement : @ em location system prototype and. If a waiver participant is moving to a new. 1067 фраз в 122 тематиках. The m&e plan may be modified or amended without amending the compact or threshold program agreement. Sound modifications are observed both within words and at word boundaries. What is the abbreviation for engineering modifications?

Unless the ama makes further modifications, the following office and outpatient e/m coding changes will take effect january 1, 2021:

So far we've emphasized the person side of the equation; However, the latest jvm versions have different modifications such as introducing the following new. J design goals for h o m e modifications. Lack of these modifications increases the level of missense errors and affects codon decoding rate, contributing to protein aggregation with deleterious consequences to the cell. Deletion of level outpatient visit cpt code 99201. Is an acronym for engineering modifications. How to use modification in a definition of modification. Modification permission you must get permission from me before you are allowed to modify my hello mass effect modders and mod users, i'm trying to fix some of the uglies in me1 and give it the. I thought that modifications to removed fields would automatically be removed when the prefab instance got reserialized due to something else changing, but it's not happening. The last three columns contain the standardized epc values (sepc.lv: The gta sa mods category contains a wide variety of mods for gta san andreas: Rna modifications have recently emerged as critical posttranscriptional regulators of gene expression programs. From script mods and new buildings to new sounds and many other types of modifications.

Advertisement

Iklan Sidebar